AIDA GELINA BRIKEN nToF CRIB ISOLDE CIRCE nTOFCapture DESPEC DTAS EDI_PSA 179Ta CARME StellarModelling DCF K40 MONNET
  BRIKEN  ELOG logo
Message ID: 352     Entry time: Thu Oct 26 09:01:53 2017
Author: BCR 
Subject: Number of Counts vs Expected Efficiency for Proposals 

 

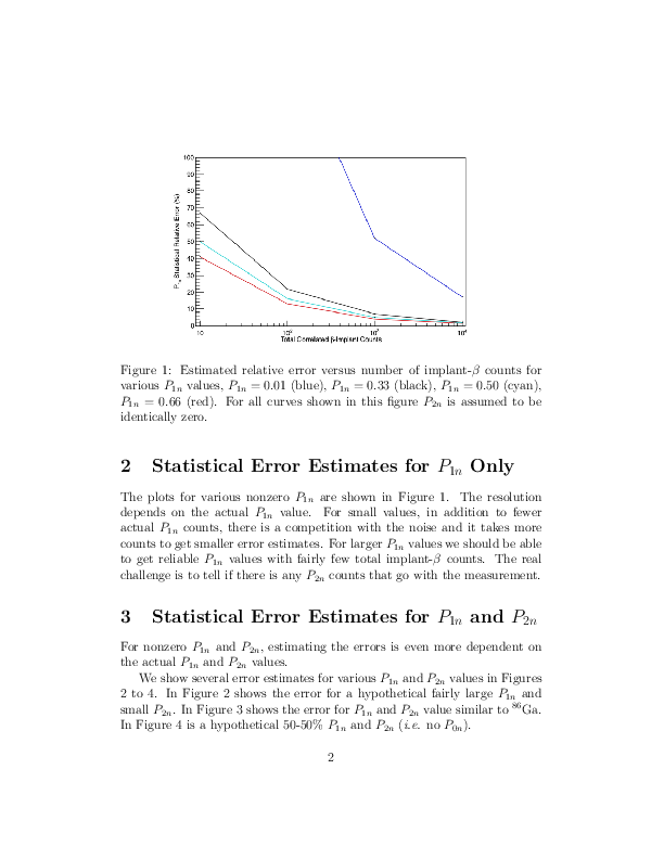
Here is a doc with an estimate of the statistical uncertainty P1n and P2n as a function of the number of implant-beta correlations for future experiments.

This will hopefully be useful for the new PAC proposals as an estimate for the time needed to measure a certain precision.

If there are any questions please feel free to email me (Charlie Rasco).

 

Attachment 1: ExpectedBRIKEN_Precision.pdf  176 kB  Uploaded Thu Oct 26 10:06:27 2017  | Hide | Hide all
ExpectedBRIKEN_Precision.pdf ExpectedBRIKEN_Precision.pdf ExpectedBRIKEN_Precision.pdf ExpectedBRIKEN_Precision.pdf
ELOG V3.1.3-7933898