AIDA
GELINA
BRIKEN
nToF
CRIB
ISOLDE
CIRCE
nTOFCapture
DESPEC
DTAS
EDI_PSA
179Ta
CARME
StellarModelling
DCF
K40
CARME
Draft saved at 00:00:00
Fields marked with
*
are required
Entry time:
Sun Jun 25 10:08:30 2023
Author
*
:
Subject
*
:
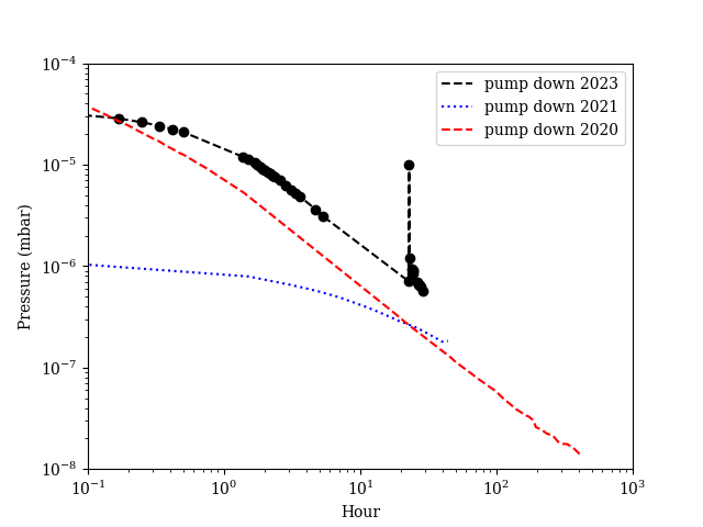
<p>23/06/23</p> <p>Pumpdown started with the scroll pump 17:15 . The turbo-pump was started 17:55. Gate valve was closed and the turbo turned of at 19:20 due to no working fan on the turbo. </p> <p>24/06/23</p> <p>Ion gauge was activated at 11:56, P= 3.7e-5 mbar. Attached pump-down curves begin from when the ion gauge was activated.</p> <p>The first plot is a comparison was a calculation for water outgassing in the chamber (which has many assumptions) but is a good guide on the expected 1/t decrease in pressure over time. The second plot is a comparison to previous turbo pump-downs in 2020 and 2021. In 2020 the chamber was bare with no instrumentation. In 2021, kapton and detectors were installed, but the pump down was conducted in several stages. Pressure readings are taken from the gauge reader in the cave, the vac plot viewer online appears to show a slightly different reading. </p> <p> 25/06/23</p> <p>10:30 P= 7.11e-7 mbar. Opened valve on leak cart and saw a large increase in the pressure (above ion gauge level). Closed valve to leak cart, pressure recovered quickly (1.28e-6 mbar after ~ 30 mins). Pressure in the leak cart ~3e-3 mbar. Possibly small trapped volume between valves on the leak cart. Opened valve to leak cart again, no pressure increase observed in the chamber. </p> <p>11:40 Leak testing. Base leak rate ~5-6e-10 mbar.l/s. Spraying helium on the seal between the bottom of the interaction chamber and the newly installed valve saw a large increase to >1e-8 mbar.l/s. Closer attention suggests the leak may be from the rotatable flange on the bottom of the interaction chamber. An increased leak rate to 1e-9 mbar.l/s was also observed on the diamond window on the inside of the ring. Spraying around wire seal and feed-through flanges on chamber on the inside of the ring gave a leak rate of 6e-10 mbar.l/s. This may be a small leak, but is most likely noise on the leak detector or drifting helium to the large leak on the interaction chamber. Cannot determine prescence of small leaks while the large leaks are active. Closing valve to leak cart saw the leak level drop to <1e-12 mbar.l/s. </p> <p>Attached images show sites of the major leaks on the interaction chamber. </p>
Encoding
:
HTML
ELCode
plain
Suppress Email notification
Resubmit as new entry
Attachment 1:
Figure_1.png
Original size: 640x480
Attachment 2:
20230625_120640.jpg
Original size: 4000x3000
Attachment 3:
20230625_120648.jpg
Original size: 4000x3000
Attachment 4:
pump-down.png
Original size: 640x480
Attachment 5:
Drop attachments here...
Draft saved at 00:00:00
ELOG V3.1.3-7933898