AIDA GELINA BRIKEN nToF CRIB ISOLDE CIRCE nTOFCapture DESPEC DTAS EDI_PSA 179Ta CARME StellarModelling DCF K40 MONNET
  GELINA  ELOG logo
Fields marked with * are required
Entry time:Fri Mar 6 17:10:43 2015
Author*:
Subject*:

Encoding:
        
Attachment 1:
Make smaller Original size Make larger   Rotate left Rotate right   Delete attachment    ral108.pdf  Original size: 612x792
ral108.pdf
Attachment 2:
Make smaller Original size Make larger   Rotate left Rotate right   Delete attachment    ral109.pdf  Original size: 612x792
ral109.pdf ral109.pdf
Attachment 3:
Make smaller Original size Make larger   Rotate left Rotate right   Delete attachment    ral108_ral109_noise.pdf  Original size: 792x612
ral108_ral109_noise.pdf
Attachment 4: ral109gain.txt   
Edinburgh/RAL RAL109 Shaping Amplifier Module
---------------------------------------------

Gain
----

The gain of the RAL109 shaping amplifier modules is adjusted by
attenuating the input signal.

The `gain resistors' are two dual inline (DIL) 16-pin packages. Each DIL
package contains eight individual resistors. The DIL packages are located 
between the power and input signal connectors at the back of the RAL109 
PCB motherboard.

The `termination resistors' are two single inline (SIL) 8-pin packages. 
Each SIL package contains four individual resistors. The SIL packages 
are located adjacent to the `gain resistors'. Input signals are typically
terminated in 100 Ohm. Because the output impedance of the RAL108 charge
sensitive preamplifiers is 100 Ohm, removal of the `termination resistors'
results in an effective x2 increase in gain. It should be noted that n+n
ohmic strip channels _require_ the 100 Ohm `termination resistors' to
be replaced by 1 kOhm `termination resistors' - p+n junction strip 
channels do _not_ require any `termination resistors'.

Examples of gain settings for the RAL109 shaping amplifier module are
shown in the table below.

With (100 Ohm) input termination
--------------------------------

	gain [V/MeV] = 0.45 / ( 1 + R [kOhm] ) 

  R	 gain	9.375V FSR	7.500V FSR	3.840V FSR	min. LLD
[kOhm]  [V/MeV]	  [MeV]		  [MeV]		  [MeV]		 [keV]

 0.022	 0.440	   21.3		   17.1		    8.7		  300
 1	 0.225	   41.7		   33.3		   17.1		  600
 2.2	 0.141	   66.5		   53.2		   27.2		 1000
 3.3	 0.105	   89.3		   71.4		   36.6		 1300
 4.7	 0.079	  119		   94.9		   48.6		 1800
 5.6	 0.068	  138		  110		   56.5		 2100
 6.8	 0.058	  162		  129		   66.2		 2400
 8.2	 0.049	  191		  153		   78.4		 2900	
10	 0.041 	  229		  183		   93.7		 3400


Without (100 Ohm) input termination
-----------------------------------

	gain [V/MeV] = 0.9 / ( 1 + R [kOhm] ) 

  R	 gain	9.375V FSR	7.500V FSR	3.840V FSR	min. LLD
[kOhm]  [V/MeV]	  [MeV]		  [MeV]		  [MeV]		 [keV]

 0.022	 0.880	  10.7		    8.5		    4.4		  150
 1	 0.450	  20.9		   16.7		    8.6		  300
 2.2	 0.282	  33.2		   26.6		   13.6		  500
 3.3	 0.210	  44.6		   35.7		   18.3		  650
 4.7	 0.158	  59.3		   47.5		   24.3		  900
 5.6	 0.136	  68.9		   55.2		   28.3		 1050
 6.8	 0.116	  80.8		   64.7		   33.1		 1200
 8.2	 0.098	  95.7		   76.5		   39.2		 1450	
10	 0.082 	 114		   91.5		   46.9		 1700


Notes:
------

1) minimum LLD corresponds to c. 10mV (front panel monitor) for RAL109s
   with 100 Ohm input termination.

2) minimum LLD corresponds to c. 20mV (front panel monitor) for RAL109s
   without 100 Ohm input termination.

3) 9.375V FSR corresponds to the maximum input signal amplitude of the
   Silena 4418/V CAMAC ADC.
   
3) 7.500V FSR corresponds to the maximum input signal amplitude of the
   Silena 9418/6V VME ADC.

4) 3.840V FSR corresponds to the maximum input signal amplitude of the
   CAEN V785 A[A-D] VME multievent ADC with sliding scale enabled.

5) The gain values quoted are nominal. Typical variation of overall
   gain of RAL108 charge-sensitive preamplifier and RAL109 shaping
   amplifier is +/-10%.

Gain Adjustment
---------------

N.B. SWITCH OFF POWER TO THE KM-6 SUB-RACK BEFORE INSERTION OR REMOVAL
     OF RA1L09 SHAPING AMPLIFIER MODULES

1) Determine appropriate value for `gain resistors' using the tables
   and the information above.

   The resistance value of the DIL/SIL packages is usually presented 
   as follows: R22, R4K7 etc. or 220 (i.e. 22 x 10^0), 472 (i.e. 47 x 
   10^2) etc. for 22 ohm and 4.7 kohm respectively.

2) Determine whether you wish to terminate the input signals.

3) Switch off power to the KM-6 sub-rack containing the RAL109 shaping
   amplifier module.

4) Remove RAL109 shaping amplifier module.

5) Using a fine screwdriver (or similar) _gently_ lever the DIL packages
   at each end until free of their DIL sockets.

6) Remove `termination resistors' if required.

6) Insert `termination resistors' if required.
   Note that the SIL packages have no particular orientation.

7) Insert new DIL packages into their DIL sockets
   Note that the DIL packages have no particular orientation.

8) Visual check for bent pins or incorrectly seated DIL/SIL packages.

9) Insert RAL109 shaping amplifier module.

10) Switch on power to KM-6 sub-rack.

T.Davinson - April 2004

Attachment 5:
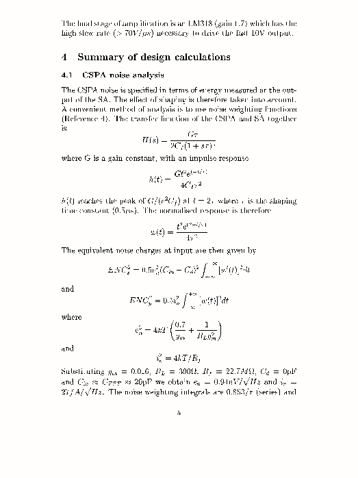
Make smaller Original size Make larger   Rotate left Rotate right   Delete attachment    technical_report.pdf  Original size: 523x698
technical_report.pdf technical_report.pdf technical_report.pdf technical_report.pdf technical_report.pdf technical_report.pdf technical_report.pdf technical_report.pdf
Attachment 6:
Make smaller Original size Make larger   Rotate left Rotate right   Delete attachment    user_guide.pdf  Original size: 595x842
user_guide.pdf user_guide.pdf user_guide.pdf user_guide.pdf
Attachment 7:   
Drop attachments here...
ELOG V3.1.3-7933898