AIDA
GELINA
BRIKEN
nToF
CRIB
ISOLDE
CIRCE
nTOFCapture
DESPEC
DTAS
EDI_PSA
179Ta
CARME
StellarModelling
DCF
K40
MONNET
nToF
Draft saved at 00:00:00
Fields marked with
*
are required
Entry time:
Thu Sep 18 14:11:29 2025
Author
*
:
Subject
*
:
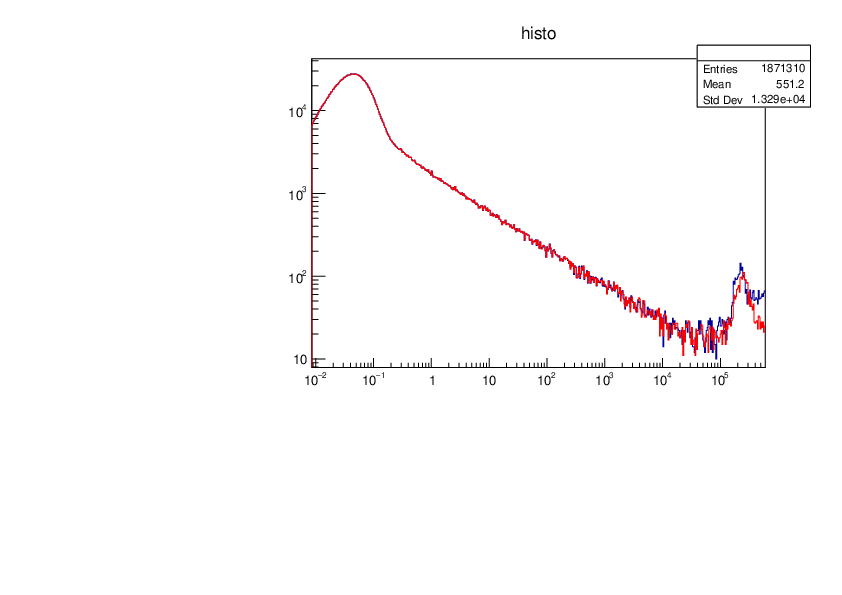
<p>Comparison strip 6 amplitude spectra anew (red) vs (old) processing (Screenshot). Slight shift in amplitude and slightly less counts with new processing in t+alpha peaks (1% level). This could be either due to less noise background, shift in neutron energy calibration (amplitude spectra shown with a cut of 100 keV). pdf plot shows new vs old for neutron energy vs counts. only minor differences at low neutron energy, new processing makes spectra cleaner at higher energy.</p> <p>Shape of the Li 240 keV resonance is shifted in new processing - either due to different offset in tof-ene calibration, or time stamp for signals in one of the processing versions is wrong. Need a new comparison to simulated spectra. </p>
Encoding
:
HTML
ELCode
plain
Suppress Email notification
Resubmit as new entry
Attachment 1:
Screenshot_2025-09-18_at_12.27.35.png
Original size: 2880x1800
Attachment 2:
newprocessing.pdf
Original size: 842x595
Attachment 3:
Drop attachments here...
Draft saved at 00:00:00
ELOG V3.1.3-7933898