AIDA GELINA BRIKEN nToF CRIB ISOLDE CIRCE nTOFCapture DESPEC DTAS EDI_PSA 179Ta CARME StellarModelling DCF K40 MONNET
  nToF  ELOG logo
Message ID: 104     Entry time: Thu Sep 18 14:11:29 2025
Author: CLW, EO 
Subject: New processing  

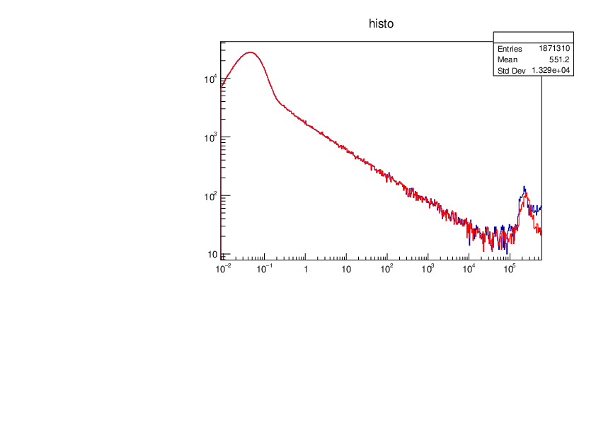
Comparison strip 6 amplitude spectra anew (red) vs (old) processing (Screenshot). Slight shift in amplitude and slightly less counts with new processing in t+alpha peaks (1% level). This could be either due to less noise background, shift in neutron energy calibration (amplitude spectra shown with a cut of 100 keV). pdf plot shows new vs old for neutron energy vs counts. only minor differences at low neutron energy, new processing makes spectra cleaner at higher energy.

Shape of the Li 240 keV resonance is shifted in new processing - either due to different offset in tof-ene calibration, or time stamp for signals in one of the processing versions is wrong. Need a new comparison to simulated spectra. 

Attachment 1: Screenshot_2025-09-18_at_12.27.35.png  2.031 MB  Uploaded Thu Sep 18 15:11:48 2025  | Hide | Hide all
Screenshot_2025-09-18_at_12.27.35.png
Attachment 2: newprocessing.pdf  21 kB  Uploaded Thu Sep 18 15:15:11 2025  | Hide | Hide all
newprocessing.pdf
ELOG V3.1.3-7933898